Счёт и сервисы для бизнеса за 0 ₽ навсегда
Счёт и сервисы для бизнеса за 0 ₽ навсегда
30 ноября 2023⠀5 минут
С помощью расчёта внутренней нормы доходности (ВНД) можно узнать, стоит ли инвестировать в проект. Объясняем, как рассчитать и использовать этот финансовый показатель.

Предположим, вы хотите вложить средства в бизнес-проект, который в будущем должен принести деньги. Чтобы понять, насколько это выгодно, нужно из предполагаемого дохода вычесть сумму начальных инвестиций.
Казалось бы, всё просто. Но есть нюанс: 1000 рублей сегодня и 1000 рублей через год — неравнозначные суммы, потому что деньги имеют свойство дешеветь. В связи с этим для оценки будущего дохода от инвестиций в расчётах используют ставку дисконтирования.
Ставка дисконтирования — это процент, отражающий соотношение будущего дохода и его нынешней стоимости. При определении этого показателя учитывают все риски бизнес-проекта, включая инфляцию, обострение политической ситуации, ошибки менеджмента и т. д. Чем выше риски, тем выше процент, на который «сгорят» деньги инвестора через какое-то время.
Есть несколько способов определить ставку дисконтирования. Единой формулы не существует, как и единого перечня рисков. За основу берут процент безрискового вклада (5–6%), добавляют к нему процент инфляции и более специфические риски.
Внутренняя норма доходности — это такая ставка дисконтирования, при которой инвестор получит назад все вложения, то есть выйдет в ноль. В учебниках можно встретить несколько наименований этого показателя: ВСД, IRR.
Чем выше ВНД, тем выше доходность проекта, потому что можно заложить больше рисков. И вот этот показатель можно и нужно рассчитывать с помощью конкретной формулы, чтобы определить доходность проекта.
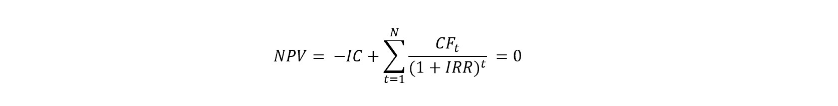
ВНД — это уровень выхода в ноль, при котором чистая приведённая стоимость (NPV), соответственно, равна нулю.
NPV — это сумма дисконтированных денежных потоков. А если проще, то будущий доход в текущем выражении.
Для расчёта нормы доходности используют формулу с известным NPV, равным нулю:

CF — это прогнозируемый поток денег за конкретный период с учётом рисков
t — номер временного периода
N — число периодов
IC — сумма начальных инвестиций
Дальше формула расчёта ВНД усложняется. Например, для 5 периодов она будет выглядеть так:

Рассчитать это арифметически не получится. В экономических учебниках есть 2 ручных» варианта. С помощью графического сначала рассчитывают график NVP для каждого проекта и затем находят IRR на нулевом уровне. Метод подбора требует знаний логарифмических расчётов.
Для вычисления можно использовать программы типа Excel. Расчёт показателя есть как в платном пакете MS Office, так и в бесплатных Google-таблицах.
Вот пример расчёта для сравнения двух инвестиционных проектов с одинаковыми вложениями:

Кликните на пустой ячейке под первым проектом.
Выберите «Вставка» → «Функция» → «Финансовые функции» → IRR.
Затем или выделите нужные ячейки, или добавьте номера ячеек для вычисления вручную: от отрицательного значения инвестиций до последнего периода денежного потока.
Повторите то же со вторым проектом.
Готово. В нашем случае первый проект получил показатель в 12%, второй — 16%.
Лучше выбрать второй проект, причём если привлекать кредитные средства, то со ставкой не выше 16%, иначе инвестиции будут убыточными.
Полезно сопоставлять полученную ставку доходности проекта с общей ставкой дисконтирования, учитывающей риски. Например, если ставка дисконтирования для проекта — 15%, а ВНД — 25%, то прогноз положительный, потому что 10% разницы — это солидный запас.
Формулу ВНД применяют в трёх случаях:
⠀Для сравнения несколько инвестиционных проектов. При прочих равных будет понятно, у какого доходность выше.
⠀Для оценки рисков использования кредитов. Например, если ВНД проекта — 20%, значит, можно взять кредит с процентом ниже и получить прибыль благодаря разнице ставок.
⠀Для анализа бизнес-плана, чтобы разобраться, какой приток денег окупит инвестиции за конкретный срок.


